
रायपुर : छत्तीसगढ़ में एआई तकनीक के इस्तेमाल से धान ख़रीदी में जारी सुनियोजित अफरा-तफरी का बड़ा खुलासा हुआ है| सर्तकता एप्प ने एक ही झटके में 22 करोड़ से ज्यादा की धान की खेप ठिकाने लगाने की कार्य योजना को उजागर कर दिया है| इस एआई तकनीक के इस्तेमाल से यह भी खुलासा हुआ है,कि सरकारी-गैर सरकारी चूहों ने हफ्ते में सिर्फ 5 दिन,कार्यालयीन समय अर्थात सुबह 10 बजे से शाम 5 बजे के बीच 30 क्विंटल भार क्षमता के वाहनों से 240 क्विंटल धान की 795 खेप इधर से उधर कर दी थी|जबकि,शाम को धान खरीदी का वक़्त खत्म होने से लेकर सुबह कार्यालय शुरू होने के पूर्व कितना माल ठिकाने लगाया गया,इसका डाटा जांच का प्रमुख विषय बताया जा रहा है|

सर्तकता एप्प का डाटा तस्दीक करता है, कि मात्र 26 दिन के भीतर,”1 दिसंबर 2025 से लेकर 06 जनवरी 2026″ के बीच सरकारी- गैर सरकारी चूहें 22 करोड़ से ज्यादा की धान चट कर गए|राज्य में खाद्य माफियाओं के लिए धान खरीदी मोटी कमाई का जरिया बन गया है | सर्तकता एप्प पर भरोसा करे तो प्रदेश में रोजाना बड़े पैमाने पर धान की अफ़रा -तफरी की जा रही है|अंदेशा जाहिर किया जा रहा है,कि कुछ खास माध्यमों से यह धान “ब्लैक मार्केट” में खपाया जा रहा है|

मार्कफेड, कोऑपरेटिव बैंक,DRCS,DMO और खाद्य विभाग के कुछ चिन्हित अधिकारियों की सांठगांठ से सरकारी तिजोरी पर सीधे तौर पर हाथ साफ़ किया जा रहा है |

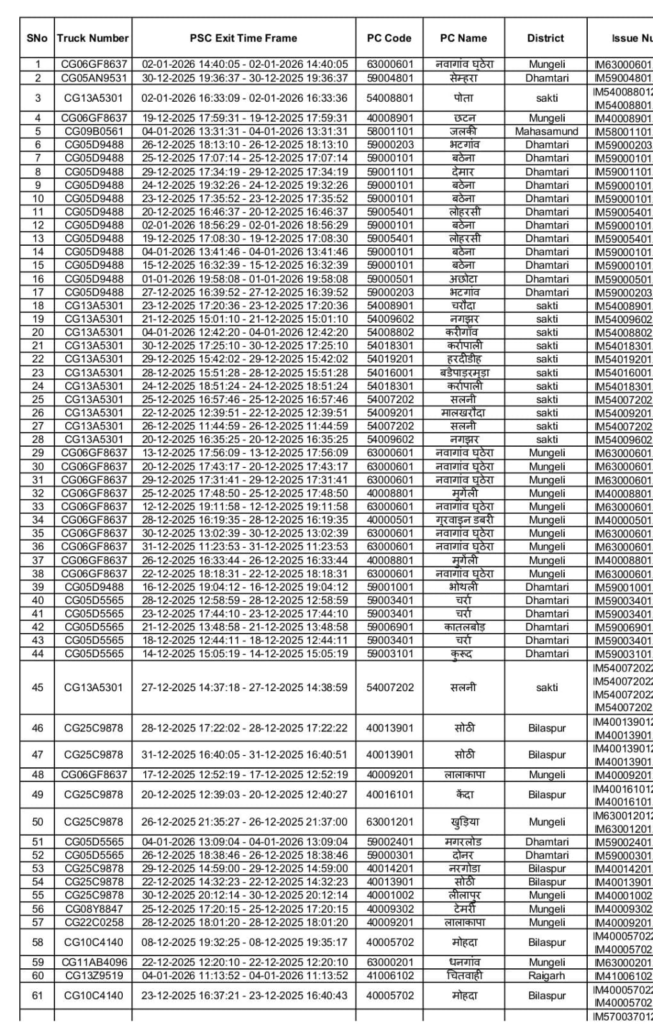
सर्तकता एप्प ने साफ तौर पर डाटा उजागर किया है,कि मौजूदा जारी धान ख़रीदी के दौरान राईस मिलर और सरकारी- गैर सरकारी तंत्र में शामिल चूहें 30 क्विंटल माल ढोने की क्षमता वाले वाहनों से प्रत्येक फेरे में 240 क्विंटल से ज्यादा की धान ठिकाने लगा रहे थे |

चौंकाने वाले इस खुलासे में सतर्कता एप्प ने ऐसे वाहनों का रजिट्रेशन नंबर,मॉडल और उनके क्षमता का पूरा ब्यौरा भी पेश किया है |आईसीसीसी मार्कफेड रायपुर से प्राप्त अलर्ट के आधार पर की गई जांच में धान के अवैध ओवरलोडिंग, फर्जी वाहनों से परिवहन और रिसायक्लिंग के गंभीर मामले उजागर हुए हैं|

राज्य में धान की सर्वाधिक अफरा-तफरी करने वाले धान खरीदी केंद्रों का सतर्कता एप्प के जरिए हैरानी भरा खुलासा होने के बाद अकेले मुंगेली जिले में 8.14 करोड़ का फर्जीवाड़ा सामने आया है| इसके उजागर होते ही मुंगेली कलेक्टर ने त्वरित कार्यवाही करते हुए राइस मिल संचालक,समिति प्रबंधक सहित अन्य आरोपियों के ख़िलाफ़ FIR दर्ज कराई है|राज्य शासन ने धान खरीदी व्यवस्था में गंभीर लापरवाही के चलते एक बड़ी प्रशासनिक कार्रवाई करते हुए मुंगेली जिले के जिला खाद्य अधिकारी हुलेश डड़सेना को निलंबित कर दिया है।

जानकारी के मुताबिक,मुंगेली की तर्ज पर सर्वाधिक धान की अफरा-तफरी करने वाले जिलों में धमतरी,कवर्धा,बलौदाबाज़ार,बिलासपुर और चाँपा जांजगीर शामिल बताए गए है|कलेक्टर मुंगेली ने कुंदन कुमार ने खाद्य विभाग एवं पुलिस विभाग की संयुक्त टीम गठित कर आरोपियों की धरपकड़ शुरू कर दी है|जबकि,शेष जिलों के कलेक्टर हाथ पर हाथ धरे बैठे नज़र आ रहे है|इन जिलों में सरकारी-गैर सरकारी चूहों को पकड़ने और धान के अवैध परिवहन पर रोक लगाने के लिए कोई ठोस कार्यवाही नहीं की गई है|सतर्कता एप्प के डाटा पर गौर फ़रमाते हुए मुंगेली में इस गंभीर प्रकरण में विभिन्न थानों में एफआईआर दर्ज कर 04 आरोपियों को गिरफ्तार किया गया है, जबकि कई आरोपी फरार बताए जाते है|

यहाँ मात्र 26 कार्य दिवस के भीतर शासन को 8 करोड़ 14 लाख रुपए से अधिक की आर्थिक क्षति पहुंचाने का खुलासा हुआ है|प्रशासन की प्रारंभिक जांच में यह तथ्य सामने आया है,कि धान उठाव करने वाले वाहनों द्वारा वास्तविक भार क्षमता से 200 प्रतिशत से लेकर 1116 प्रतिशत तक अधिक ओवरलोडिंग कर अवैध परिवहन किया गया था| प्रारंभिक जांच में लगभग 11 लाख क्विंटल से अधिक धान की खरीदी एवं परिवहन में अनियमितता के प्रमाण मिले हैं|यह भी तथ्य सामने आया कि आरोपियों द्वारा जानबूझकर फर्जी दस्तावेज तैयार किए गए, पीडीएस चावल का वितरण नहीं किया गया,फर्जी वाहन नंबरों के माध्यम से धान का परिवहन दर्शाया गया तथा वास्तविक मात्रा से अधिक धान उठाव दिखाकर शासन को नुकसान पहुंचाया गया|

जानकारी के मुताबिक,मुंगेली के नवागांव घुठेरा समिति द्वारा स्थानीय उपलेटा राइस मिल से मिलीभगत कर 74 जीपीएस युक्त एवं 40 से अधिक बिना जीपीएस वाहनों के माध्यम से धान का अवैध परिवहन किया गया था| इसी प्रकार,सिंघनुपरी उपार्जन केन्द्र द्वारा एसएस फूड के साथ मिलकर 4,542 क्विंटल धान का बिना जीपीएस वाहन से परिवहन, छटन उपार्जन केन्द्र द्वारा दीपक राइस मिल एवं नवकार मिल के साथ मिलकर 3,589 क्विंटल धान का अवैध परिवहन और झगरहट्टा उपार्जन केन्द्र द्वारा वर्धमान राइस मिलर्स के साथ अनियमितता किए जाने पर कार्रवाई की गई है|

उपलेटा एवं वर्धमान राइस मिल के संचालक, समिति प्रबंधक, कंप्यूटर ऑपरेटर सहित कई व्यक्तियों को गिरफ्तार किया गया है। वहीं अब्दुल समद, ललित जैन, नवेन्द मेनन एवं अनिल जांगड़े फरार बताए जा रहे हैं, जिनकी तलाश पुलिस द्वारा की जा रही है।थाना फास्टरपुर में अपराध क्रमांक 12/2026 एवं थाना लालपुर में अपराध क्रमांक 09/2026 के तहत भी धान उपार्जन केन्द्रों में फर्जी परिवहन, धोखाधड़ी एवं अनियमितताओं के मामले दर्ज किए गए हैं। इन मामलों में भी आरोपियों को गिरफ्तार कर न्यायिक रिमांड पर भेजा गया है.जिला प्रशासन ने साफ़ किया है, कि धान खरीदी एवं सार्वजनिक वितरण प्रणाली में किसी भी प्रकार की अनियमितता, भ्रष्टाचार अथवा फर्जीवाड़ा किसी भी स्थिति में बर्दाश्त नहीं किया जाएगा।

न्यूज़ टुडे छत्तीसगढ़ से चर्चा करते हुए अधिकारियों ने कहा,कि दोषियों के विरुद्ध कठोर कार्रवाई जारी रहेगी और फरार आरोपियों को शीघ्र गिरफ्तार किया जाएगा| मुंगेली जिले में धान खरीदी प्रणाली में पारदर्शिता और जवाबदेही सुनिश्चित करने की दिशा में कानूनी कार्यवाही खाद्य माफियाओं के खिलाफ एक महत्वपूर्ण पहल मानी जा रही है। सरकार प्रशासनिक अधिकारियों से अपने कर्तव्यों के निर्वहन में पूरी गंभीरता और तत्परता की अपेक्षा रखती है,लेकिन धान खरीदी में मची खुली लूट से महकमे में गहमा-गहमी देखी जा रही है| विशेषकर उन महत्वपूर्ण क्षेत्रों में जहां सतर्कता एप्प ने दागियों की कलई खोल कर रख दी है|राज्य में सालाना धान खरीदी ने किसानों के लिए एक महत्वपूर्ण आय का स्रोत जहाँ निर्मित किया है,वही खाद्य माफियाओं को मालामाल करने का परंपरागत अवसर भी कायम रखा है|

निशाने पर सिर्फ खाद्य विभाग क्यों ? जबकि,घोटाले में कोऑपरेटिव बैंक,मार्कफेड,DRCS,DMO भी शामिल न्यूज़ टुडे छत्तीसगढ़ को मिली जानकारी के मुताबिक,राज्य में सामूहिक ज़िम्मेदारी के साथ धान घोटालों को अंजाम दिया जा रहा है,लेकिन राज्य सरकार सिर्फ खाद्य अमले को ही निशाने पर ले रही है | जबकि,धान खरीदी के दौरान खाद्य अमला सिर्फ पर्यवेक्षण कार्य ही कर रहा है| धान खरीदी और उसकी अफरा-तफरी में खाद्य विभाग का नहीं बल्कि कोऑपरेटिव बैंक,मार्कफेड, DRCS और DMO का बड़ा हाथ बताया जाता है | यह महकमा सीधे तौर पर धान खरीदी, उसके रख रखाव और उठाव में महत्त्वपूर्ण भूमिका निभाता है |

सूत्र तस्दीक करते है,कि ये तीनों अमले सीधे तौर पर खाद्य माफियाओं के संपर्क में बताए जाते है,जबकि प्रथम दृष्टया घोटाले की जिम्मेदारी खाद्य विभाग पर मढ़ दी जा रही है राज्य सरकार 3100 रूपये प्रति क्विंटल की दर से धान खरीदी कर रही है,वही खाद्य माफिया खुले बाज़ार से मात्र 1600 रूपये प्रति क्विंटल की दर से कम गुणवत्तायुक्त धान की खरीदी कर उसे धान खरीदी केंद्रों में खपा रहा है,उन्हें इस गोलमाल से 750 रुपए प्रति क्विंटल की दर से मोटी कमाई हो रही है |

दरअसल,धान खरीदी केंद्रों के कई परंपरागत कर्मियों के पास उन किसानो का पूरा लेखा-जोखा ऋण पुस्तिकाओं के साथ उपलब्ध बताया जाता है,जिन किसानों के खेत तो है,लेकिन उसमे धान की पैदावार नहीं होती| बल्कि ऐसे किसान साग सब्जियां और अन्य फसलों की पैदावार करते है,स्थानीय समितियां ऐसे किसानों की ऋण पुस्तिकाओं को इक्कठा कर राज्य सरकार को जमकर चूना लगा रही है |

जानकार तस्दीक करते है,कि राज्य सरकार 3100 रूपये प्रति क्विंटल की दर से धान खरीदी का भुगतान 2 किश्तों में प्रथम 2400 प्रति क्विंटल (फ़ौरन )+700 रूपये प्रति क्विंटल दूसरी किश्त में बोनस के रूप में प्रदान करती है|कुपात्र किसानो की ऋण पुस्तिकाओं पर होने वाली कागजी खानापूर्ति कर प्रति क्विंटल 750 रूपये की कमाई का कमीशन विभिन्न स्तरों पर बांटा जाता है|

सतर्कता एप्प ने राज्य की विकासशील सरकार के “ढोल की पोल” खोल कर रख दी है|धान खरीदी में अनियमितता के लगातार उजागर हो रहे मामले,राज्य की विकासशील सरकार की कमज़ोरी की ओर इशारा कर रही है|मुख्य सचिव विकासशील की कार्यप्रणाली को लेकर सवालियां निशान लगने लगा है|

फिलहाल,सरकारी अमला अपनी जिम्मेदारी और कर्तव्य निर्वहन में जहाँ फिसड्डी साबित हुआ है,वही सतर्कता एप्प ने उसकी कार्यप्रणाली, कथनी और करनी पर सवाल खड़े कर दिए है|देखना गौरतलब होगा,कि मुंगेली की तर्ज पर और कितने जिलों में सरकारी-गैर सरकारी चूहें छत्तीसगढ़ शासन की तिजोरी को कुतर रहे है|







